Penerimaan Mutasi Peserta Didik

Diterbitkan :

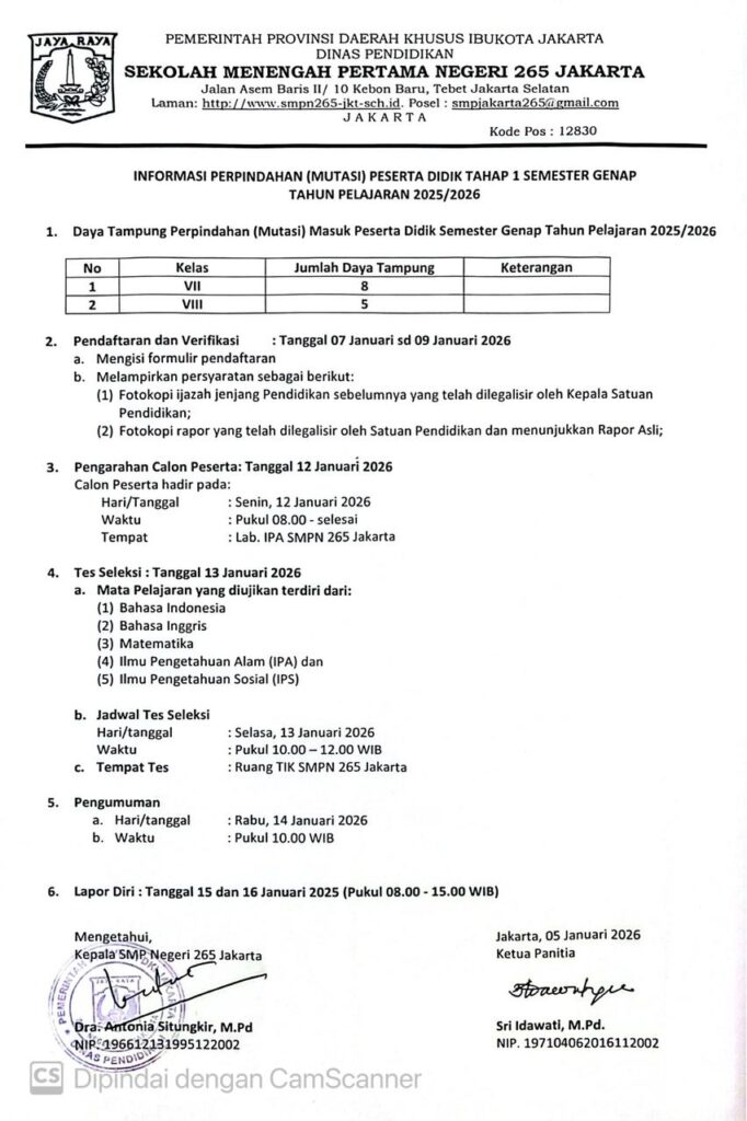
SMP Negeri 265 Jakarta membuka penerimaan mutasi peserta didik bagi siswa dari sekolah lain yang ingin melanjutkan pendidikan di SMP Negeri 265 Jakarta pada tahun pelajaran berjalan, dengan ketentuan sebagai berikut:

Pengumuman Lainnya

PENERIMAAN MUTASI MURID TAHAP 2

Terbit : 1 Februari 2026

Penerimaan Mutasi Tp. 2025/2026

Terbit : 10 Juli 2025

Pengumuman Kelulusan Kelas 9

Terbit : 2 Juni 2025

Regulasi SPMB Tahun 2025-2026

Terbit : 31 Mei 2025

TENTANG KAMI

Logo

SMP Negeri 265 (SMPN) 265 merupakan sekolah menengah pertama yang didirikan di Kota Administrasi Jakarta Selatan 2, DKI Jakarta, Indonesia. Sama dengan SMP pada umumnya di Indonesia masa pendidikan sekolah di SMPN 265 Jakarta di tempuh dalam waktu tiga tahun pelajaran, mulai dari kelas VII sampai kelas IX. Berdirinya SMPN 265 Jakarta dilatar belakangi oleh tingginya minat masyarakat yang ingin anaknya melanjutkan kesekolah menengah pertama.

KONTAK

    (021) 8302935

    smpn265_jkt@yahoo.com

    SMP Negeri 265 Jakarta

Jl. Asem Baris II No.10, RT.9/RW.5, Kb. Baru, Kec. Tebet, Kota Jakarta Selatan, Daerah Khusus Ibukota Jakarta 12830

SeputarWaktu.com